Abstract
Introduction: Randomized controlled trials comparing patients’ experience with open (OPN) vs. robot-assisted (RAPN) partial nephrectomy showed no clear advantages for RAPN. This contradicts our clinical impression, so we analyzed a cohort that underwent both approaches for bilateral renal tumors. The aim of our study was to compare their intraindividual perceptions of OPN and RAPN. Methods: Scar assessment and evaluation of patient-reported outcome measures were conducted. The questionnaires were retrospectively answered for postoperative day 5 after OPN and RAPN and, as a reference, for the date of presentation. Results: Results revealed longer hospitalization and ischemia times in patients with OPN, while ratings for physical condition and quality of life were better in the RAPN group. Stress, depression, and anxiety in cancer patients scored higher in the OPN group. Scar assessment revealed less patient-reported satisfaction after OPN. Patients favored RAPN when comparing both approaches directly and were more likely to recommend RAPN to a friend. Conclusion: This is the first study on the intraindividual perception of OPN vs. RAPN, revealing a comparative judgement clearly in favor of RAPN. Based on our findings, we designed the APPROACH trial to compare OPN and RAPN in a representative population under the conditions of routine care.
Introduction
Kidney cancer remains a significant health challenge globally, necessitating effective surgical interventions for optimal patient outcomes. In recent years, the landscape of kidney cancer surgery has transformed with the advent of minimally invasive techniques, particularly robot-assisted partial nephrectomy (RAPN), which has seen a remarkable increase in utilization. In kidney cancer surgery, there is a clear trend of increasing case numbers for RAPN – in the USA, case numbers increased from 0 to 54.5% between 2006 and 2014 [1]. The reported advantages of RAPN include fewer complications, shorter length of hospital stay and better postoperative kidney function when compared to open partial nephrectomy (OPN) [2]. Nonetheless, randomized controlled trials are rare and have failed to show powerful short- and long-term advantages for RAPN over OPN, so far. The ROBOCOP II trial – a single-center, randomized, open-label feasibility trial – showed lower blood loss, less pain medication, and fewer complications in the RAPN group compared to a shorter operative time and shorter ischemia time in the OPN group [3]. Patient-reported outcome measures (PROMs) are rarely considered when addressing the question of superiority of one of these approaches. In addition, the available validated instruments are very general and, therefore, may not capture the specific differences. Differences in quality-of-life, considering pain and physical functioning, could be reported in favor of RAPN in the early postoperative phase, while those differences could not be found 3 months after surgery [4]. This contradicts our clinical experience, which shows a much more favorable course after RAPN. Therefore, we investigated a group of patients who had experienced both surgical techniques due to bilateral renal tumors. The primary objective of our study was to explore and compare the subjective experiences of patients who underwent both RAPN and OPN, focusing on their perceptions of surgical outcomes, cosmesis, and functional recovery. By retrospectively evaluating this unique cohort, we aim to elucidate the nuanced differences between these two surgical approaches, contributing valuable insights that may inform future comparative studies and improve patient care in kidney cancer surgery.
Methods
We invited 6 patients who underwent OPN and RAPN in 2022/2023 for a structured interview and medical history workup, including RENAL score calculations. Physical examination included a scar assessment using the patient and observer scar assessment score 2.0 (POSAS 2.0) [5]. We applied validated questionnaires for PROMs: the Shared Decision-Making Questionnaire (SDM-Q-9) [6], the Core Quality-of-Life Questionnaire (EORTC QLQ-C30) [7], the Functional Assessment of Cancer Therapy Kidney Cancer Symptom Index (FKSI) [8], the Questionnaire on Stress in Cancer Patients (FBK-R23) [9], and the Patient Health Questionnaire (PHQ-4) [10]. The questionnaires were retrospectively answered for postoperative day (POD) 5 after OPN and RAPN and, as a reference, for the date of presentation.
Structured interviews were conducted to evaluate the advantages and disadvantages of OPN and RAPN from the individual perspective via a mixed methods approach. Free text answers were clustered and summarized.
To address the direct intraindividual comparison of the two approaches, we designed a questionnaire in which patients had to rate statements on a Likert scale from 0 = fully disagree to 10 = fully agree. Questions addressed short-term outcomes (postoperative pain, early mobilization, and bowel movements), long-term outcomes (long-term recovery, return-to-work/daily routine, satisfaction with the scars, and presence of permanent impairments), and subjective ratings (recommendation of the procedure to a friend and choice of approach, if both were surgically feasible). An overall rating was calculated by providing German school grades (1 = very good to 6 = insufficient). The questionnaire is shown as online supplementary Figure 1 (for all online suppl. material, see https://doi.org/10.1159/000545583). Due to the small sample size, comparative statistical analysis was not conducted, and no p values were reported.
Results
Surgical and Oncologic Characteristics
Each patient received OPN on one side and RAPN on the contralateral side. Representative images of all the tumors are shown in Figure 1. The median age was 65 (55–75) years and the cohort included 1 female (17%). The median body mass index was 27 (23.4–30.2) kg/m2 and the median abdominal circumference was 93.7 (87.6–103.6) cm. The time between the two surgeries was 1.8 (1.3–7.2) months, with OPN performed before RAPN in all patients. One major complication (Clavien-Dindo 3) occurred in the OPN group, and none occurred in the RAPN group. One patient treated with OPN for a RENAL 8p kidney tumor experienced postoperative urinoma. After insufficient clinical improvement after drainage, ureteral stenting, and i.v.-antibiotics, revision surgery was performed. Tumors with greater complexity were more often treated with OPN (median RENAL score OPN 8 vs. 6 RAPN). This aligns with our surgical strategy of treating more complex tumors first, typically with OPN, to ensure nephron-sparing. In 2 patients with identical RENAL scores for both sides (8a and 8p), the decision for the surgical strategy was made based on the complexity-by-score, individual preference, and other patient-specific anatomical considerations. Hospitalization duration was longer after OPN (7 days) vs. RAPN (5 days) and ischemia time for OPN was 10 min vs. 5 min for RAPN. There was no difference in the dynamics of postoperative kidney function between the two cohorts. The predominant histologic subtype was clear-cell renal cell carcinoma. There was a greater proportion of T1b tumors in the OPN group; the RAPN group consisted solely of T1a tumors. No patients had a positive nodal status or distant metastases. The surgical and oncologic characteristics of our cohort are shown in Table 1.
CT/MRI scans of all patients in the cohort. The red arrows indicate the tumors treated with OPN, and the yellow arrows indicate the tumors treated with RAPN.
CT/MRI scans of all patients in the cohort. The red arrows indicate the tumors treated with OPN, and the yellow arrows indicate the tumors treated with RAPN.
Surgical and oncological characteristics
| . | OPN . | RAPN . |
|---|---|---|
| Surgical characteristics . | ||
| Age at surgery, years (IQR) | 64 (53.8–73.5) | 64 (53.8–73.8) |
| Hospital stay, days (IQR) | 7 (4–10.5) | 5 (4.8–5.5) |
| Side, n (%) | ||
| Right | 3 (50) | 3 (50) |
| Left | 3 (50) | 3 (50) |
| Ischemia time, min (IQR) | 10 (5–14) | 4.7 (0–13.5) |
| Preop creatinine, mg/dL (IQR) | 0.97 (0.8–1.1) | 1.07 (1–1.4) |
| Postop creatinine, mg/dL (IQR) | 1.15 (0.89–1.26) | 1.2 (1.1–1.3) |
| Preop GFR MDRD, mL/min (IQR) | 77.5 (62.2–89.8) | 68 (48.8–74.8) |
| Postop GFR MDRD, mL/min (IQR) | 66.5 (59.4–72.8) | 58 (50–69.3) |
| Major complications | ||
| Clavien-Dindo ≥3, n (%) | 1 (16.7) | 0 (0) |
| RENAL score, n | 7 | 7 |
| Median (IQR) | 8 (7–9) | 6 (4–8) |
| Low (4–6), n (%) | 1 (14.3) | 4 (57.1) |
| Intermediate (7–9), n (%) | 5 (71.4) | 3 (42.9) |
| High (10–12), n (%) | 1 (14.3) | 0 (0) |
| Oncologic characteristics | ||
| Histology, n (%) | ||
| Clear cell | 5 (71.4) | 4 (57.2) |
| Papillary | 0 (0) | 0 (0) |
| Chromophobe | 1 (14.3) | 1 (14.3) |
| Others | 1 (14.3) | 2 (28.6) |
| T-stage, n (%) | ||
| T1a | 5 (71.4) | 6 (100) |
| T1b | 2 (28.6) | 0 (0) |
| ≥T2a | 0 (0) | 0 (0) |
| N-stage, n (%) | ||
| N0 | 7 (100) | 6 (100) |
| Nx/N1 | 0 (0) | 0 (0) |
| M-stage, n (%) | ||
| M0 | 7 (100) | 6 (100) |
| Mx/M1 | 0 (0) | 0 (0) |
| . | OPN . | RAPN . |
|---|---|---|
| Surgical characteristics . | ||
| Age at surgery, years (IQR) | 64 (53.8–73.5) | 64 (53.8–73.8) |
| Hospital stay, days (IQR) | 7 (4–10.5) | 5 (4.8–5.5) |
| Side, n (%) | ||
| Right | 3 (50) | 3 (50) |
| Left | 3 (50) | 3 (50) |
| Ischemia time, min (IQR) | 10 (5–14) | 4.7 (0–13.5) |
| Preop creatinine, mg/dL (IQR) | 0.97 (0.8–1.1) | 1.07 (1–1.4) |
| Postop creatinine, mg/dL (IQR) | 1.15 (0.89–1.26) | 1.2 (1.1–1.3) |
| Preop GFR MDRD, mL/min (IQR) | 77.5 (62.2–89.8) | 68 (48.8–74.8) |
| Postop GFR MDRD, mL/min (IQR) | 66.5 (59.4–72.8) | 58 (50–69.3) |
| Major complications | ||
| Clavien-Dindo ≥3, n (%) | 1 (16.7) | 0 (0) |
| RENAL score, n | 7 | 7 |
| Median (IQR) | 8 (7–9) | 6 (4–8) |
| Low (4–6), n (%) | 1 (14.3) | 4 (57.1) |
| Intermediate (7–9), n (%) | 5 (71.4) | 3 (42.9) |
| High (10–12), n (%) | 1 (14.3) | 0 (0) |
| Oncologic characteristics | ||
| Histology, n (%) | ||
| Clear cell | 5 (71.4) | 4 (57.2) |
| Papillary | 0 (0) | 0 (0) |
| Chromophobe | 1 (14.3) | 1 (14.3) |
| Others | 1 (14.3) | 2 (28.6) |
| T-stage, n (%) | ||
| T1a | 5 (71.4) | 6 (100) |
| T1b | 2 (28.6) | 0 (0) |
| ≥T2a | 0 (0) | 0 (0) |
| N-stage, n (%) | ||
| N0 | 7 (100) | 6 (100) |
| Nx/N1 | 0 (0) | 0 (0) |
| M-stage, n (%) | ||
| M0 | 7 (100) | 6 (100) |
| Mx/M1 | 0 (0) | 0 (0) |
The RENAL score reflects the complexity of a renal tumor in terms of the item radius, proportion of exophytic/endophytic parts, proximity to the collecting system, position (anterior, posterior, or neither), and position relative to the hilar polar line. The number of tumors was greater than the number of patients because 1 patient was treated for bilateral multilocular renal tumors due to Birt-Hogg-Dubé syndrome. IQR, interquartile range; GFR, glomerular filtration rate; MDRD, modification of diet in renal disease.
Assessment of PROMs
At POD 5, retrospective ratings for physical condition and quality of life were better in the RAPN group (QLQ-C30 physical condition: OPN 4 vs. 5.5 RAPN and QLQ-C30 quality of life: OPN 3 vs. 5 RAPN). Stress in cancer patients scored higher in OPN procedures (OPN 20 vs. 12 RAPN), as were depression and anxiety (PHQ-4: OPN 4.2 vs. 2.3 RAPN). Details are shown in Table 2.
Differences in validated questionnaires
| Domain (questionnaire) . | OPN, median (IQR) . | Δ to date of examination . | RAPN, median (IQR) . | Δ to date of examination . | date of examination . |
|---|---|---|---|---|---|
| Shared decision-making (SDM-Q-9) | 37 (26.5–40.3) | n.a. | 38 (29.5–45) | n.a. | n.a. |
| Physical condition (QLQ-C30) | 4 (2.8–6) | −1.5 | 5.5 (3.5–6) | −1 | 6.5 (5.8–7) |
| Quality of life (QLQ-C30) | 3 (2.8–6.3) | −3.5 | 5 (3.5–7) | −1.5 | 6.5 (6–7) |
| Kidney cancer symptoms (FKSI-19) | 22 (19–25.5) | +1 | 18.5 (16.8–23.5) | −2.5 | 21 (21–22.5) |
| Stress (QSC-R23) | 20 (11.5–68) | +1.5 | 12 (9.3–44) | −6.5 | 18.5 (6.5–26) |
| Depression and anxiety (PHQ-4) | 4.2 (0–11.8) | +3.7 | 2.3 (0–3.5) | +1.8 | 0.5 (0–1.3) |
| Domain (questionnaire) . | OPN, median (IQR) . | Δ to date of examination . | RAPN, median (IQR) . | Δ to date of examination . | date of examination . |
|---|---|---|---|---|---|
| Shared decision-making (SDM-Q-9) | 37 (26.5–40.3) | n.a. | 38 (29.5–45) | n.a. | n.a. |
| Physical condition (QLQ-C30) | 4 (2.8–6) | −1.5 | 5.5 (3.5–6) | −1 | 6.5 (5.8–7) |
| Quality of life (QLQ-C30) | 3 (2.8–6.3) | −3.5 | 5 (3.5–7) | −1.5 | 6.5 (6–7) |
| Kidney cancer symptoms (FKSI-19) | 22 (19–25.5) | +1 | 18.5 (16.8–23.5) | −2.5 | 21 (21–22.5) |
| Stress (QSC-R23) | 20 (11.5–68) | +1.5 | 12 (9.3–44) | −6.5 | 18.5 (6.5–26) |
| Depression and anxiety (PHQ-4) | 4.2 (0–11.8) | +3.7 | 2.3 (0–3.5) | +1.8 | 0.5 (0–1.3) |
The questionnaires were answered in triplicate for OPN (POD 5), RAPN (POD 5), and at the date of examination as a reference. SDM-Q-9, 9-item shared decision-making questionnaire; QLQ-C30, EORTC Core Quality-of-Life Questionnaire; FKSI, Functional Assessment of Cancer Therapy Kidney Cancer Symptom Index; QSC-R23, Questionnaire on Stress in Cancer Patients-Revised Version; PHQ-4, Patient Health Questionnaire; n.a., not applicable.
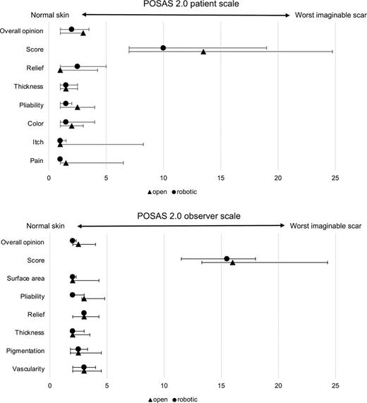
Scar Assessment by POSAS
Scar assessment revealed less patient-reported satisfaction after OPN (POSAS patient scale: total score, OPN 13.5 vs. 10 RAPN; overall opinion, OPN 3 vs. 2 RAPN). The observer-rated validation of scars did not reflect these findings (POSAS observer scale: total score OPN 16 vs. 15.5 RAPN; overall opinion OPN 2.5 vs. 2 RAPN). The ratings are illustrated in Figure 2, and exemplary pictures of the scars rated satisfactory or unsatisfactory are shown in Figure 3.
Scar assessment from patients and observers. Overall opinion and POSAS. Single items are rated from 1 = normal skin to 10 = worst imaginable scar. The total score is calculated as the sum of all the items except overall opinion. The medians are indicated by rectangles (OPNs) and circles (RAPNs), and the bars indicate the IQRs.
Scar assessment from patients and observers. Overall opinion and POSAS. Single items are rated from 1 = normal skin to 10 = worst imaginable scar. The total score is calculated as the sum of all the items except overall opinion. The medians are indicated by rectangles (OPNs) and circles (RAPNs), and the bars indicate the IQRs.
Exemplary pictures of scars after OPN and RAPN. Top left: Symptomatic relaxation and hypertrophic, hypopigmented scar after OPN. Top right: Thin and short scar rated POSAS 14 after OPN. Bottom left: Hypertrophic scar with hyperkeratotic specimen extraction site (a) and irregular relief (b; yellow) at the specimen extraction site after RAPN, especially compared to the OPN scar (b; red). Bottom right: Almost invisible scar of the robotic port due to abdominal skin hair after RAPN.
Exemplary pictures of scars after OPN and RAPN. Top left: Symptomatic relaxation and hypertrophic, hypopigmented scar after OPN. Top right: Thin and short scar rated POSAS 14 after OPN. Bottom left: Hypertrophic scar with hyperkeratotic specimen extraction site (a) and irregular relief (b; yellow) at the specimen extraction site after RAPN, especially compared to the OPN scar (b; red). Bottom right: Almost invisible scar of the robotic port due to abdominal skin hair after RAPN.
Direct Intraindividual Comparison of OPN vs. RAPN
When comparing OPN and RAPN directly, patients favored RAPN in terms of short- and long-term outcomes. Patients strongly favored RAPN when asked if they would recommend the procedure to a friend and which approach they would choose retrospectively if both were surgically feasible (Fig. 4). Overall, OPN was rated worse in German school grades (OPN 3.5 vs. 2 RAPN).
Evaluation of the two surgical procedures via direct comparison. 0 = disagree; 10 = fully agree. The questionnaire is shown in online supplementary Figure 1. The medians are indicated by rectangles (OPNs) and circles (RAPNs), and the bars indicate the IQRs.
Evaluation of the two surgical procedures via direct comparison. 0 = disagree; 10 = fully agree. The questionnaire is shown in online supplementary Figure 1. The medians are indicated by rectangles (OPNs) and circles (RAPNs), and the bars indicate the IQRs.
Structured Interviews
In structured interviews, patients’ answers revealed the patient-reported advantages and disadvantages of both approaches; this complemented the scores and ratings mentioned above with the individual perceptions of both procedures. For example, 1 patient, contrary to the other 5 patients, reported less pain in the first few days after OPN and later mobilization after RAPN. Summarized answers are shown in Table 3.
Results of the structured interviews
| OPN . | RAPN . |
|---|---|
| Advantages | |
|
|
| Disadvantages | |
|
|
| OPN . | RAPN . |
|---|---|
| Advantages | |
|
|
| Disadvantages | |
|
|
Answers to the question of which advantages/disadvantages OPN and RAPN have from a patient’s point of view. Redundant answers are indicated only once.
Discussion
We present the first study on the intraindividual perception of OPN vs. RAPN. Despite extensive literature on oncologic and functional outcomes [11], cost-effectiveness [12] and the learning curve [13], the patient perspective via PROMs has not yet been thoroughly described in this context (2 results from a PubMed search of “OPN” and “RAPN” in combination with “PROM” (0) or “PREM” (0) or “patient perspective” (2) [12, 14] or “perception” (0) in October 2024). The OpeRa trial (NCT 03849820) also assessed quality of life with the use of OPN vs. RAPN. In contrast to our setting, quality of life was measured with the European Quality-of-Life 5 Dimensions 5 Level Version (EQ-5D 5L) and the QLQ-C30, which did not differ 1 year after surgery [15]. Measuring quality of life in renal cancer patients is challenging due to the heterogeneity of the disease itself. In patients with metastatic renal cell carcinoma (mRCC), the EQ-5D 5L and the QLQ-C30 have been found to be reliable tools to assess quality of life [16]. Furthermore, a positive correlation between health-related quality of life and overall survival upon treatment with Nivolumab is described in the CheckMate 025 trial [17]. Gross et al. [18] provided a review focusing on health-related quality-of-life assessment in renal cancer and described the EQ-5D, QLQ-C30, and the FKSI to be the most frequently used PROMs in clinical trials.
Our results concerning lower complication rates with OPN vs. RAPN, as well as shorter hospitalization and ischemia times, align with other studies [2, 19]. However, due to the small cohort of our study, the differences can only be descriptive and lack statistical significance. Furthermore, the results in the OPN group could be influenced by the fact that more complex tumors were treated by open surgery (median RENAL OPN 8 vs. 6 RAPN). Although this reflects clinical reality, RAPN is expected to become more relevant for more complex tumors in the future.
Comparative quality-of-life analyses between OPN and RAPN are rare. The ROBOCOP II trial described differences in the early postoperative phase in favor of RAPN, which were no longer present 90 days after surgery [3]. Our analysis reflects these early postoperative findings. The validated instruments used in the PERCEPTION study have not yet been established in the context of OPN vs. RAPN. Therefore, our results on the superiority of RAPN in terms of those features are novel in the comparative analysis of OPN vs. RAPN. The comparability between studies assessing qualitative endpoints after surgery is limited. In patients with surgery for breast cancer, EQ-5D 5L and the QLQ-C30 showed low internal responsiveness in the first year after surgery [20].
The POSAS 2.0 score is a validated tool for scar assessment for both patients and physicians. It has been described in various contexts, but not in partial nephrectomy [21]. However, the evaluation of postoperative results after small-incision access retroperitoneoscopic technique (SMART) for retroperitoneoscopic pyeloplasty marks it suitable for minimally invasive kidney surgery [22, 23]. Our results indicate that patient-reported superiority of RAPN scars is driven primarily by their pliability, color, and pain. In our small cohort, the score is susceptible to outliers and can only be considered a trend. Nevertheless, these findings indicate which features of a scar – often seen as a business card of the surgeon – are important to our patients. On the other hand, the differences are not significant when a healthcare professional rated the scars during physical examination. To strengthen the significance of these results, larger cohorts are needed.
Although validated PROMs only show differences in the trends of the perception of OPN vs. RAPN, direct comparative questions in our own questionnaire show the clear superiority of RAPN with respect to short-term and long-term outcomes. Nevertheless, those endpoints are highly subjective and can be affected by factors other than the operation itself; this is also true of the findings of the structured interviews, where contradictive arguments can be found in both groups. A possible modulating factor for the perception of the two surgical techniques could be that the experiences during the first treatment influence the subjective rating of the second treatment. As most patients were in the same hospital for both procedures, a habituation effect might be relevant. Furthermore, the fact that OPN was performed before RAPN in all study participants could be a positive selection bias for the experience of RAPN in our cohort.
Overall, the small sample size, the retrospective design and the short follow-up represent major limitations of our exploratory, hypothesis-generating study. However, based on this study, we designed the APPROACH trial to compare midterm functional and oncologic outcomes after OPN vs. RAPN in a representative regional population under specific conditions of routine care to further deepen the insights gained in the present PERCEPTION study. The APPROACH trial (DRKS00035341) is a retrospective comparative healthcare research study in which patients having undergone OPN or minimally invasive partial nephrectomy between 2015 and 2022 are assessed. This includes several procedure-related PROMs, scar assessment, oncologic and functional outcomes, as well as evaluation of guideline adherence and structured interviews via a mixed methods approach. A special feature is the recruitment via the Hessian Cancer Registry, so that a regionally representative sample is created and statements about the patterns of routine care are possible. With the design of the APPROACH study, the methodical weaknesses of the PERCEPTION study, such as the small cohort and the short follow-up, are aimed to be improved. The results of both studies describing qualitative differences between OPN and RAPN could support future decision-making in the context of managing resectable renal tumors.
Conclusion
In our study, we present the first in-depth analysis of PROMs in patients having experienced both OPN and RAPN. Through this special study design direct intraindividual comparison of these different approaches becomes possible. The intraindividual perception of OPN and RAPN in our cohort revealed clear superiority of RAPN concerning physical condition and quality-of-life as well as stress, depression, and anxiety in cancer patients. Scar assessment showed less patient-reported satisfaction after OPN although the observer-rated validation did not reflect these findings. When comparing both approaches directly, patients were strongly in favor for RAPN. The insights into the patient-reported perception of OPN and RAPN described in our study could add a valuable factor to future decision-making for the treatment of renal tumors, although further studies with more patients and longer follow-up are needed to elucidate the role of PROMs in this context. Inclusion of specific PROMs seems to be a mandatory complement when addressing the quality of different surgical approaches in this context.
Statement of Ethics
This study was performed in accordance with the Declaration of Helsinki. Ethical approval was not received for this study because it was not required by local guidelines. All adult participants provided written informed consent to participate in this study. Written informed consent was obtained from the individuals for publication of the details of their medical cases and any accompanying images.
Conflict of Interest Statement
Johannes Huber was a member of the journal’s Editorial Board at the time of submission. The other authors have no conflicts of interest to declare.
Funding Sources
This study was not supported by any sponsor or funder.
Author Contributions
Conceptualization: P.R. and J.H; methodology and supervision: J.H.; validation: L.F., C.G., and J.H.; resources: A.L.J.; software, formal analysis, data curation, investigation, visualization, and writing – original draft preparation: P.R.; writing – review and editing: L.B., L.K., M.C.B.-B., A.L.J., L.F., C.G., and J.H.; and project administration: L.B., L.K., and A.L.J.
Additional Information
This original study received an award for the poster presentation at the German Congress of Robotic in Urology 2024.
Data Availability Statement
The data that support the findings of this study are not publicly available due to privacy reasons but are available from the corresponding author upon reasonable request.




