Abstract
Introduction: LEAN is a prospective, multicenter, noninterventional, German cohort study in patients with locally advanced and metastatic hormone-sensitive prostate cancer (PC). This analysis explores the efficacy and safety of leuprorelin in patients with PC and an indication for androgen deprivation therapy (ADT) in routine practice. Methods: Safety assessment focused on the incidence of major adverse cardiovascular (CV) events (MACEs; a composite of all-cause death, myocardial infarction, or stroke) over the 12-month study period. Patients initiating ADT before enrollment were excluded from the analysis. Results: Of the 1,372 patients included, MACEs occurred in 57 (4.2%) patients and in 18/532 (3.4%) versus 39/840 (4.6%) patients without and with a pre-existing CV comorbidity, respectively (p = 0.264). Of the 57 MACEs, 17 were CV events and 20 were considered PC-related events; in 20 patients, events were classed as “other” or the context remained unknown. Only one MACE, nonserious arrhythmia, was considered drug related by the urologist. Of the 52 deaths reported in patients with MACEs, 12 were related to a CV event and 20 were related to disease progression. Conclusion: In a large European patient cohort, leuprorelin-based ADT demonstrated an acceptable safety profile, with a low incidence of CV events.
Introduction
The addition of chemotherapy and novel hormonal therapy to treatment of locally advanced and metastatic hormone-sensitive prostate cancer (PC) has greatly improved patient prognosis [1‒4]. Nevertheless, long-term androgen deprivation therapy (ADT) remains the backbone of current therapeutic concepts [2‒4]. The increase in therapeutic intensity, along with improved life expectancy, now requires greater efforts to control treatment side effects.
ADT has been associated with increased cardiovascular (CV) risk in patients with PC [5, 6], and in 2010, the US Food and Drug Administration (FDA) mandated addition of a statement about potentially increased CV risks to product safety information for gonadotrophin-releasing hormone (GnRH) agonists [7]. However, it is unclear whether the mode of testosterone suppression (GnRH agonist or antagonist, or orchiectomy) differentially affects CV risk, especially among patients with pre-existing atherosclerotic CV disease [8‒10]. Finally, whether CV events are more frequent in the early phases of treatment or equally distributed over the course of treatment remains unclear [11, 12]. In the current European Society of Cardiology (ESC) cardio-oncology guidelines, baseline and annual CV risk assessment during ADT is recommended [13]. However, it was pointed out that further research is needed to clarify whether GnRH agonists or antagonists are favorable in patients with PC and CV disease.
The LEAN study (https://drks.de/search/en/trial/DRKS00005643, “Observation of Leuprone® HEXAL® in treatment practice. Noninterventional study on therapy over time, tolerability profile and on anamnestic factors”), comprising parts I and II, was conducted to expand knowledge on the effectiveness and safety of leuprorelin (GnRH agonist) therapy in a real-world setting. This pooled analysis of LEAN focuses on major adverse CV events (MACEs) during the study.
Patients and Methods
Study Description
The LEAN study was a 12-month, multicenter, prospective, noninterventional study conducted between October 2013 and June 2020, involving 190 centers in Germany. In total, 1,802 patients with PC and an indication for ADT were included. Participants were treated with leuprorelin 3.6 mg monthly or leuprorelin 5 mg every 3 months. Baseline demographic data for each patient were reported by their urologist. Patients also responded to a survey on baseline medications. Patient efficacy and safety data were acquired at baseline and after 3, 6, 9, and 12 months. Interim results from this study (LEAN I) involving 959 patients were published previously [14]. Due to an update of treatment guidelines in 2016 recommending the addition of systemic docetaxel to ADT in metastatic hormone-sensitive PC [1], the LEAN I protocol was amended and continued as LEAN II, which permitted inclusion of patients receiving ADT in combination with chemotherapy.
Inclusion/Exclusion Criteria
Inclusion/exclusion criteria have been published previously [14]. Patients with PC, an indication for ADT, and life expectancy of >12 months were eligible; there was no upper age limit. Exclusion criteria included surgical castration, hypersensitivity to leuprorelin, and therapy with other GnRH agonists/antagonists or polylactic acid. Previous leuprorelin treatment for ≤6 months (i.e., short-course ADT) before recruitment was permitted as the goal of LEAN was to assess the effect of ADT over ≥12 months. Nevertheless, for analysis of CV side effects, patients who received ADT prior to recruitment were not considered.
Study Assessment
The safety profile of leuprorelin was assessed through documentation of adverse events (AEs) and serious AEs according to the Common Terminology Criteria for Adverse Events [15]. This assessment focused on CV toxicity. For comparability, the definition of MACE was adopted from the PRONOUNCE trial, in which MACE was defined as a composite of all-cause death, myocardial infarction, or stroke over 12 months [8].
Statistical Analysis
Changes in parameters over time were evaluated using appropriate tests (e.g., the paired-samples t test for continuous data and Fisher’s exact test for categorical data). All statistical tests performed were descriptive and had no confirmatory character.
Analysis was based on (Fig. 1):
the full analysis set (FAS), which included all patients who provided written informed consent;
the safety analysis set (SAS), which included all patients in the FAS who received at least one implant of leuprorelin; and
the modified SAS (mSAS), which included all patients in the SAS who did not violate any of the inclusion/exclusion criteria and presented with plausible data confirming the administration of leuprorelin at the initial visit and at least one subsequent visit.
Trial profile showing allocation of patients to each analysis set. GCP, Good Clinical Practice; FAS, full analysis set; LHRH, luteinizing hormone-releasing hormone; mSAS, modified SAS; SAS, safety analysis set.
Trial profile showing allocation of patients to each analysis set. GCP, Good Clinical Practice; FAS, full analysis set; LHRH, luteinizing hormone-releasing hormone; mSAS, modified SAS; SAS, safety analysis set.
Patients receiving ADT before enrollment were excluded from the mSAS as the inclusion of patients tolerating ADT without experiencing a MACE may have led to positive selection bias. Analysis of MACE was therefore restricted to the mSAS.
Results
Patient Population
Of 1,802 patients included in the SAS, 430 (23.9%) patients received leuprorelin ≤6 months before the study start date and were excluded from this analysis, leaving 1,372 patients in the mSAS (Fig. 1). Baseline demographic data for the mSAS are summarized in Table 1. In the mSAS, 88.0% of patients were aged ≥65 years. Pre-existing CV diseases were reported by the urologist in charge in 61.2% of patients and represent the most common comorbidity. At baseline, 53.1% of patients were being concomitantly treated with anti-androgen therapy during the study to prevent flare-ups, but only 2 patients (0.1%) continued receiving anti-androgen therapy. After the protocol change, 32/864 (3.7%) patients (LEAN II) received docetaxel-based chemotherapy at baseline or during follow-up. Approximately 95% of patients in the FAS received 3-monthly leuprorelin. Information on baseline medications obtained from a patient questionnaire (online suppl. Table 1; for all online suppl. material, see https://doi.org/10.1159/000543985) suggests that the number of patients suffering from pre-existing CV comorbidity might exceed the figure provided by the physicians. Baseline CV medications were continued as indicated.
Baseline demographics and disease characteristics – mSAS
| Characteristic . | Evaluable patients, n . | Result . |
|---|---|---|
| Age, median (Q1;Q3), years | 1,372 | 76 (71;80) |
| Mean (SD) | 74.6 (7.5) | |
| BMI, mean (SD) | 1,365 | 27.5 (4.1) |
| ≤30 kg/m2, n (%) | 1,063 (77.9) | |
| >30 kg/m2, n (%) | 302 (22.1) | |
| Duration of disease since diagnosis, mean (SD), months | 1,294 | 26.0 (48.9) |
| ECOG performance status (baseline/visit 1), n (%) | 1,371 | |
| Grade 0 | 835 (60.9) | |
| Grade 1 | 463 (33.8) | |
| Grade 2 | 73 (5.3) | |
| Gleason score, % | 341 | |
| Grade 6/7a | 32.8 | |
| Grade 7b | 27.0 | |
| Grade 8–10 | 40.2 | |
| Pre-existing CV comorbidity, n (%) | 1,372 | 840 (61.2) |
| Previous radical prostatectomy, n (%) | 1,372 | 378 (27.6) |
| Radiation therapy, n (%) | 1,372 | 267 (19.5) |
| Baseline PSA, ng/mL | 1,298 | |
| Mean (SD) | 28.9 (54.1) | |
| Median (min–max) | 8.7 (0.0–350.0) | |
| Baseline testosterone, ng/mL | 801 | |
| Mean (SD) | 3.96 (2.17) |
| Characteristic . | Evaluable patients, n . | Result . |
|---|---|---|
| Age, median (Q1;Q3), years | 1,372 | 76 (71;80) |
| Mean (SD) | 74.6 (7.5) | |
| BMI, mean (SD) | 1,365 | 27.5 (4.1) |
| ≤30 kg/m2, n (%) | 1,063 (77.9) | |
| >30 kg/m2, n (%) | 302 (22.1) | |
| Duration of disease since diagnosis, mean (SD), months | 1,294 | 26.0 (48.9) |
| ECOG performance status (baseline/visit 1), n (%) | 1,371 | |
| Grade 0 | 835 (60.9) | |
| Grade 1 | 463 (33.8) | |
| Grade 2 | 73 (5.3) | |
| Gleason score, % | 341 | |
| Grade 6/7a | 32.8 | |
| Grade 7b | 27.0 | |
| Grade 8–10 | 40.2 | |
| Pre-existing CV comorbidity, n (%) | 1,372 | 840 (61.2) |
| Previous radical prostatectomy, n (%) | 1,372 | 378 (27.6) |
| Radiation therapy, n (%) | 1,372 | 267 (19.5) |
| Baseline PSA, ng/mL | 1,298 | |
| Mean (SD) | 28.9 (54.1) | |
| Median (min–max) | 8.7 (0.0–350.0) | |
| Baseline testosterone, ng/mL | 801 | |
| Mean (SD) | 3.96 (2.17) |
BMI, body mass index; CV, cardiovascular; ECOG, Eastern Cooperative Oncology Group; mSAS, modified safety analysis set; PSA, prostate-specific antigen; Q1/3, first/third quartile; SD, standard deviation.
Major Adverse CV Events
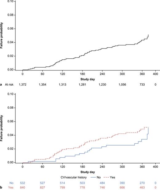
MACEs (all-cause death, myocardial infarction, or stroke) occurred in 57/1,372 (4.2%) patients in the mSAS and in 18/532 (3.4%) versus 39/840 (4.6%) patients without and with a pre-existing CV comorbidity, respectively. This nonsignificant difference (p = 0.264) was present over the whole analysis period (Fig. 2). Of 57 MACEs, 14 events occurred within the first 100 days of observation. Of the 57 MACEs, 20 were classified by the urologist in charge as PC-related events, 17 as CV events (CV death, n = 12; acute myocardial infarction, n = 2; cerebrovascular accident, n = 2; angina pectoris, n = 1), and 20 as “other” (general physical health deterioration, n = 5; edema, n = 2; pneumonia, n = 2; other causes, n = 4) and of unknown origin (death of unknown cause, n = 7). Figure 3 illustrates the time points of MACE occurrences in patients who experienced MACEs. There was no significant difference in the incidence of MACE within age-groups between patients with and without pre-existing CV comorbidities (<65 years, n = 164; 65–79 years, n = 863; or ≥80 years, n = 345; p = 0.6634). The incidence of MACEs within age-groups is shown in Figure 4.
Failure probability plot for developing a MACE with number of patients at risk – mSAS. a Overall. b Stratified by CV/vascular history. Log-rank p = 0.2640. CV, cardiovascular; MACE, major adverse cardiovascular event; mSAS, modified safety analysis set.
Failure probability plot for developing a MACE with number of patients at risk – mSAS. a Overall. b Stratified by CV/vascular history. Log-rank p = 0.2640. CV, cardiovascular; MACE, major adverse cardiovascular event; mSAS, modified safety analysis set.
Swimmer plot showing the duration of observation for each patient who experienced a MACE and associated events – mSAS. CV, cardiovascular; MACE, major adverse cardiovascular event; mSAS, modified safety analysis set; PC, prostate cancer.
Swimmer plot showing the duration of observation for each patient who experienced a MACE and associated events – mSAS. CV, cardiovascular; MACE, major adverse cardiovascular event; mSAS, modified safety analysis set; PC, prostate cancer.
Incidence of MACEs by age-group and CV history – mSAS. CV, cardiovascular; MACE, major adverse cardiovascular event; mSAS, modified safety analysis set.
Incidence of MACEs by age-group and CV history – mSAS. CV, cardiovascular; MACE, major adverse cardiovascular event; mSAS, modified safety analysis set.
Other Safety Outcomes
Safety outcomes for the mSAS are summarized in Table 2. Overall, 539 (39.3%) patients experienced 1,090 AEs during the study, with hot flushes being the most common AE. In total, 242 (17.6%) patients experienced 434 serious AEs. Of these, 16 (1.2%) patients experienced serious adverse drug reactions, including hot flushes in 5 patients and drug-induced liver injury and pulmonary embolism in 1 patient each. Cardiac disorders were not considered drug related by the investigators, except for 1 case of nonserious arrhythmia.
Safety profile of leuprorelin – mSAS focusing on MACEs
| Event, n (%) . | N = 1,372 . |
|---|---|
| AE | 539 (39.3) |
| Adverse drug reaction | 240 (17.5) |
| Serious AE | 242 (17.6) |
| MACE | 57 (4.2) |
| Death | 52 (3.8) |
| CV death | 12 (0.9) |
| Death due to disease progression | 20 (1.5) |
| Unknown or other reason | 20 (1.5) |
| SADR | 16 (1.2) |
| Event, n (%) . | N = 1,372 . |
|---|---|
| AE | 539 (39.3) |
| Adverse drug reaction | 240 (17.5) |
| Serious AE | 242 (17.6) |
| MACE | 57 (4.2) |
| Death | 52 (3.8) |
| CV death | 12 (0.9) |
| Death due to disease progression | 20 (1.5) |
| Unknown or other reason | 20 (1.5) |
| SADR | 16 (1.2) |
AE, adverse event; CV, cardiovascular; MACE, major adverse cardiovascular event; mSAS, modified safety analysis set; SADR, serious adverse drug reaction.
Of the 52 deaths reported from the 57 patients with MACEs, 12 were related to a CV event and 20 were related to disease progression. Furthermore, within the mSAS, 74 patients withdrew from the study prematurely, 68 (5.0%) at the patient’s request, and 6 (0.4%) due to AEs.
Discussion
This study focused on CV outcomes during treatment with leuprorelin. Furthermore, the effect of the addition of chemotherapy to the study protocol and the effect of leuprorelin dosage (1-monthly vs. 3-monthly) were not assessed, given that the proportions of patients who received chemotherapy or who received 1-monthly leuprorelin were very low.
GnRH agonists and antagonists have different mechanisms of action, which can lead to differences in the rate of testosterone decline and follicle-stimulating hormone (FSH) levels. Sustained low FSH levels, as seen with GnRH antagonists, have been reported to be associated with lower rates of MACEs [16]. The literature comparing CV events with GnRH agonists versus antagonists presents conflicting results: the Phase III HERO study compared efficacy and safety outcomes for leuprorelin versus relugolix (GnRH antagonist) in patients with advanced PC. MACEs (defined as nonfatal myocardial infarction, nonfatal stroke, and all-cause deaths) occurred among 6.2% versus 2.9% of patients treated with leuprorelin and relugolix, respectively, within 12 months of treatment (hazard ratio 0.46; 95% confidence interval [CI], 0.24–0.88). No differences in grade 3/4 (i.e., severe or life threatening) MACEs were observed between leuprorelin and relugolix (1.3% for both) [12]. Patients with MACEs within 6 months prior to the study were excluded from HERO, and various medications that could affect CV outcomes were prohibited, which may have made the patient population less representative of real-world practice. Moreover, HERO was not powered to assess CV outcomes [17].
The PRONOUNCE trial was a prospective, multicenter, open-label, randomized trial comparing the CV safety of degarelix (GnRH antagonist) versus leuprorelin in patients with advanced PC and pre-existing CV disease [8]. The primary outcome was the time to first adjudicated MACE (a composite of death, myocardial infarction, or stroke) through 12 months. The study was terminated prematurely because of the smaller than planned number of participants and events, and no significant difference in MACEs between patients assigned to degarelix (5.5%) and to leuprorelin (4.1%) was observed over 12 months (p = 0.53) [8].
Several real-world studies report a similar or even lower CV incidence with GnRH agonists versus antagonists. An observational trial reported findings similar to the PRONOUNCE trial, with 3.9% of patients treated with degarelix versus 2.9% treated with leuprorelin experiencing a MACE, as defined in PRONOUNCE [18]. Additionally, a study of US electronic medical records for 45,059 men with PC evaluated MACE risk after ADT initiation with GnRH agonists or antagonists. The adjusted risk of MACE was higher with GnRH antagonists versus agonists (hazard ratio 1.62; 95% CI, 1.21–2.18; p < 0.001) [19]. Other databases from EudraVigilance and the FDA showed similar incidences of CV events with degarelix (6%) and leuprorelin (5%), with a pooled relative risk of total CV events with degarelix versus leuprorelin of 1.28 (95% CI, 0.95–1.44; p = 0.10) [20].
Another prospective cohort study in the Asian population compared GnRH agonists versus antagonists using two endpoints, MACEPRONOUNCE (same definition as PRONOUNCE) and MACECVM (a composite of CV mortality, stroke, and myocardial infarction). GnRH agonist-treated patients had a lower risk of MACEPRONOUNCE (p < 0.001) and MACECVM (p = 0.027) over the median follow-up period of 3 years, but not within 1 year of follow-up, compared to GnRH antagonist-treated patients. Among patients without CV risk factors at baseline, GnRH agonist-treated patients had a lower risk of MACEPRONOUNCE (p < 0.001) and MACECVM (p = 0.001) than GnRH antagonist-treated patients, whereas no differences were observed in patients with such risk factors [21].
Two reviews have also explored the influence of GnRH agonists and antagonists on CV events. A Cochrane review of randomized controlled trials comparing degarelix and standard hormonal therapy in men with newly diagnosed advanced PC included 11 studies [9]. A narrative review of epidemiologic studies of GnRH agonists and antagonists and CV outcomes included 71 papers [10]. Neither review identified a conclusive pattern of CV risk with GnRH agonists versus antagonists [9, 10].
Finally, a recent meta-analysis of prospective, randomized trials comparing GnRH antagonists and agonists in patients with PC found that there was insufficient high-quality, randomized evidence to definitively assess the superiority of either GnRH antagonists or GnRH agonists in terms of CV safety, particularly among those with CV comorbidities. Furthermore, the assessments for CV events were not consistent across the 11 identified studies, indicating a need for consistency in defining MACEs [22].
The recent ESC guidelines suggest that a GnRH antagonist rather than an agonist should be considered in patients with pre-existing symptomatic coronary artery disease who require ADT [13]. Current real-world data in patients with PC, including the LEAN study, suggest that there is no difference in CV MACE in patients with or without preexisting stable CV disease at baseline with the agonist leuprorelin. Consistent with the above literature, MACE occurrence in the LEAN pooled study was also quite low despite the higher age and greater comorbidity of patients in this study compared with the interventional studies cited above. Therefore, our data support earlier studies showing that GnRH agonist treatment is well tolerated and has a good safety profile in real-world settings and with concomitant baseline cardiac medications as indicated in patients with CV comorbidities (Table 1; online suppl. Table 1). This is further supported by the low rate of serious adverse drug reactions observed in LEAN.
We note that the number of patients receiving baseline CV medications might exceed the number of patients with CV comorbidities noted at baseline. However, this comparison is flawed as the baseline medication questionnaire was completed by a modified FAS, whereas this analysis of MACE data was in the mSAS. Regardless, the baseline medication data indicate the need for consistent review of CV history of elderly patients with PC.
We further conclude that the use of any definition of MACE that includes all-cause mortality has limitations as outcomes are affected by the underlying patient cohort. While in our “mixed” cohort, 20 of 57 (35%) patients with MACE were reported to have died from PC, the proportion of patients with MACE would vary in a more selective cohort of patients with metastatic hormone-sensitive PC. In addition, the fact that ADT monotherapy has been superseded by updated guideline recommendations for combination therapy will complicate future assessments of AEs mediated by GnRH agonists and antagonists as androgen receptor inhibitors are also associated with AEs that can overlap with those associated with ADT, including MACEs [1, 23]. Thus, we strongly advocate the use of MACECVM as proposed by Chan et al. [21] in future studies addressing the question of ADT-related CV complications.
Conclusion
The results from this analysis represent a large European patient population with PC treated with the GnRH agonist leuprorelin in real-world clinical practice. While CV monitoring should be a standard part of care for such patients, the results demonstrate that GnRH agonist-based ADT has an acceptable safety profile, with low incidence of CV events. Previous efficacy findings from randomized clinical studies were confirmed without any new safety concerns.
Acknowledgments
Project implementation, quality review, data management, continuous pharmacovigilance operations, and statistical analysis were performed by Institut Dr. Schauerte, Germany, funded by Hexal AG/Sandoz. The authors thank Dan Hami of Titan, OPEN Health Communications, for medical writing support and editorial assistance, funded by Sandoz in accordance with Good Publication Practice (GPP 2022) guidelines (www.ismpp.org/gpp-2022).
Statement of Ethics
All patients have provided written, informed consent to participate in the study. The study protocol has been approved by the ethics committee of the scientific medical lead (Bernd J. Schmitz-Dräger), that is, the ethics committee of the Bavarian Chamber of Physicians, Munich, Germany (Committee Number 13108), and subsequently by the ethics committees of all study sites, as noted on the German Clinical Trial website (https://drks.de/search/en/trial/DRKS00005643) and in the first full report on efficacy and safety data from the LEAN study [14].
Conflict of Interest Statement
Bernd J. Schmitz-Dräger has acted as a consultant and/or trialist for and has received fees from AstraZeneca, Hexal AG, and Janssen. Ekkehardt Bismarck, Thomas Ebert, and Stephan Mühlich are trialists for Hexal AG. Roland Starlinger and Kerstin Dienes are employees of Sandoz and Hexal AG, respectively. Bertram Ottillinger has acted as a consultant for and has received fees from Hexal AG. Peter J. Goebell has participated in advisory boards for and received honorary fees and/or travel support from Apogepha, Astellas, AstraZeneca, Bayer, Bristol Myers Squibb, Eisai, EUSA, iOMEDICO, Ipsen, Janssen, Merck, MSD, Novartis, Pfizer, Roche, and Sanofi. Bernd J. Schmitz-Dräger and Oliver W. Hakenberg were members of the journal’s Editorial Board at the time of submission. Natalya Benderska-Söder and Jutta Bergler-Klein have no conflicts of interest to declare.
Funding Sources
This study was funded by Sandoz.
Author Contributions
B.J.S.-D. and B.O. were responsible for study conceptualization. B.J.S.-D., E.B., T.E., and S.M. were principal investigators and collected data. B.O. performed the statistics workup. B.J.S.-D., R.S., B.O., and N.B.-S. performed the data analysis and wrote the original manuscript draft. E.B., T.E., K.D., P.J.G., S.M., J.B.-K., and O.W.H. reviewed and edited the manuscript. All authors approved the final version of the manuscript.
Data Availability Statement
All data utilized in this analysis are included in this article and its online supplementary material files. Further inquiries for the LEAN study can be directed to the corresponding author.




