Abstract
Purpose: The aim of this study was to investigate the role of BIRC5 for early diagnosis and prognosis in clear-cell renal cell carcinoma (ccRCC) by studying the expression of BIRC5 and the correlation between BIRC5 expression and clinicopathological parameters and prognosis in ccRCC. Methods: The BIRC5 expression in ccRCC tissues and normal kidney tissues was measured using the Cancer Genome Atlas database and the Human Protein Atlas database. The correlation between BIRC5 expression and clinicopathological parameters and prognosis in ccRCC was analyzed using UALCAN, the Kaplan-Meier plotter, GEPIA, and SurvExpress. Thirteen-paired ccRCC plasma samples were used to verify the BIRC5 early diagnosis value of ccRCC. Results: The BIRC5 expression is significantly higher in ccRCC than in normal kidney tissues, and is correlated with the clinical stage and pathological grade of ccRCC (p < 0.05). The result of analyzing the relationship between BIRC5 expression and outcomes in ccRCC indicates that a high BIRC5 expression is an independent prognostic factor affecting the overall survival and disease-free survival of ccRCC (p < 0.05). Compared with normal kidney tissues, the immunohistochemical test shows that BIRC5 is significantly upregulated in ccRCC tissues. mRNA expression levels of BIRC5 were significantly higher in the ccRCC plasma than normal (p < 0.05). Conclusions: The high expression of BIRC5 is an important indicator for the prognosis of ccRCC, which makes BIRC5 an effective biomarker for predicting the prognosis of patients in ccRCC. BIRC5 may be a great potential biomarker for early diagnosis of ccRCC.
Introduction
Renal cell carcinoma (RCC) is the third most frequent urological malignant neoplasms worldwide, among which, clear-cell RCC (ccRCC) accounts for approximately 80–90% [1], being responsible for the most common type of renal malignancy. Because of its high rates of local invasion, metastasis, and acquired chemoresistance, ccRCC is the most lethal RCC histological subtype [2]. If diagnosed at an early stage, ccRCC can be cured by surgery. However, the 5-year disease-specific survival rate of ccRCC is only 12%. What’s more, due to the asymptomatic nature of the early ones, ∼16% of patients with ccRCC are identified with lymph node metastasis or distant metastasis at first diagnosis, and 20–30% of localized ccRCC patients experience recurrence or metastasis even following surgery, and no effective therapies are found to reduce the risk of recurrence, progression, or death [3, 4]. Thus, it is important to find reliable biomarkers to facilitate early diagnosis and screen out disease progression of ccRCC.
BIRC5 (also known as survivin) is a cancer-associated protein that inhibits cell death, which is a key member of the inhibitor of apoptosis protein family, encoded by the BIRC5 (baculoviral inhibitor of apoptosis repeat containing 5) gene. Biological function of BIRC5 is involved in the regulation of both apoptosis and cell division when BIRC5 is usually highly expressed in several cancers but not expressed in normal differentiated tissues. BIRC5 expression allows tumor cells to overcome apoptotic checkpoints, while several antitumor agents function through apoptosis activation, BIRC5 expression may contribute to the resistance to anticancer agents [5, 6]. Increased BIRC5 expression is associated with negative outcomes or survival in various cancers, such as breast, lung, colorectal, prostate, and ovarian cancers [7]. All of these features make BIRC5 a famous molecule among cancer research; however, very few researches have been investigated regarding BIRC5 expression and ccRCC.
The Cancer Genome Atlas (TCGA), having huge data resources of cancers, plays an irreplaceable role in cancer research when providing an opportunity to analyze the associations of various clinicopathologic factors with tumor initiation and progression to cancer researchers [8]. Various computational tools have been developed to aid researchers in carrying out specific TCGA data analyses, and facilitate the study of gene expression variations and survival associations across tumors. In our study, we aimed to examine BIRC5 expression and identify BIRC5 of the prognostic value in the ccRCC using developed computational tools of TCGA; we try to explore the possible mechanisms behind ccRCC development and reveal reliable early diagnosis and prognostic biomarkers and therapeutic targets for ccRCC.
Materials and Methods
Relationship between BIRC5 Expression and Clinicopathological Features
UALCAN (http://ualcan.path.uab.edu) is an easy to use and interactive web portal to perform in-depth analyses of TCGA gene expression data. The gene expression and clinical patient data were downloaded from TCGA, and the analysis results are represented by box plots, KM plots, and heatmaps. Through its links, queried gene expression analysis and chose cancer-type survival analysis results can be acquired [9]. We used UALCAN to analyze the relative expression of BIRC5 across tumor and normal samples, also in various tumor subgroups based on individual cancer stages, tumor grade, and nodal metastasis.
Relationship between BIRC5 Expression and Outcome of ccRCC
The Kaplan-Meier plotter (http://kmplot.com/analysis/) is capable to assess the effect of 54K genes on survival in 21 cancer types (breast, ovarian, lung, gastric cancers; ccRCC and so on). Its gene expression data and relapse-free and overall survival (OS) information are downloaded from GEO, EGA, and TCGA. The patient samples are split into 2 groups according to various quantile expressions of the proposed biomarker. The 2 patient cohorts are compared by a Kaplan-Meier survival plot, and the hazard ratio with 95% confidence intervals and the log-rank p value is calculated. We used the Kaplan-Meier plotter to analyze the association between BIRC5 expression and OS of ccRCC.
GEPIA (http://gepia.cancer-pku.cn/index.html) is a web server for analyzing the RNA sequencing expression data of 9,736 tumors and 8,587 normal samples from the TCGA and the GTEx projects. It provides multiple customizable functions such as tumor/normal differential expression analysis, patient survival analysis, and similar gene detection [10]. We used GEPIA to analyze the association between BIRC5 expression and disease-free survival (DFS) of ccRCC.
SurvExpress (http://bioinformatica.mty.itesm.mx/SurvExpress) is a comprehensive gene expression database and a web-based tool, providing survival analysis and risk assessment in cancer datasets. It can facilitate performance comparisons of the Kaplan-Meier plotter, PrognoScan, or others, and validations of prognostic and predictive biomarkers for cancer outcomes [11]. To further validate the association between BIRC5 expression and outcome of ccRCC, we used SurvExpress to analyze 468 ccRCC data from TCGA, using COX regression analysis.
Protein Expression of BIRC5 between Tumor Tissues of ccRCC and Normal Kidney Tissues
The Human Protein Atlas (HPA) database (https://www.proteinatlas.org) is capable of detecting 84% of the human proteome through antibody-based proteomics, and can be used to study gene expression between the tissue of normal and tumors. We used the HPA database to test the immunohistochemistry of BIRC5 between the tissue of normal and ccRCC.
Quantitative Reverse Transcriptase-Polymerase Chain Reaction
In order to explore the differential expression of BIRC5 in the plasma between early ccRCC and normal people, we went forward to validate the BIRC5 expression characteristic in 13 paired ccRCC samples by quantitative reverse transcriptase-polymerase chain reaction. Total RNA was extracted by using the Trizol reagent (Invitrogen, Carlsbad, CA, USA), which was used to generate cDNA by using the SuperScript III RT/Invitrogen with an oligo (dT) primer. Q-PCR was performed using Platinum SYBR Green qPCR SuperMix (Invitrogen) as recommended by the manufacturer. The primers used were as follows: BIRC5, 5′-CGACCCCATAGAGGAACATAAA-3′, and 5′-GGAATAAACCCTGGAAGTGGTG-3′.
Results
BIRC5 Expression Is Upregulated in ccRCC Tissues
Analyzing the BIRC5 mRNA expression in the normal kidney tissue and ccRCC tumor tissue of TCGA, through UALCAN, we found the level of BIRC5 expression reported to be significantly increased in ccRCC tissues compared with normal kidney tissues. The BIRC5 expression is significantly upregulated in ccRCC tissues (p < 0.05) (Fig. 1).
The expression of BIRC5 in ccRCC based on TCGA samples (p < 0.05). TCGA, the Cancer Genome Atlas; ccRCC, clear-cell renal cell carcinoma.
The expression of BIRC5 in ccRCC based on TCGA samples (p < 0.05). TCGA, the Cancer Genome Atlas; ccRCC, clear-cell renal cell carcinoma.
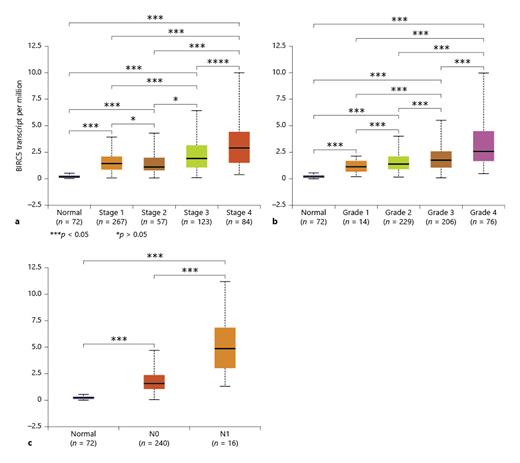
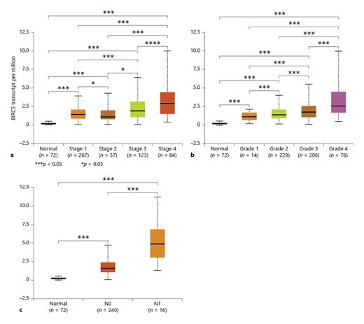
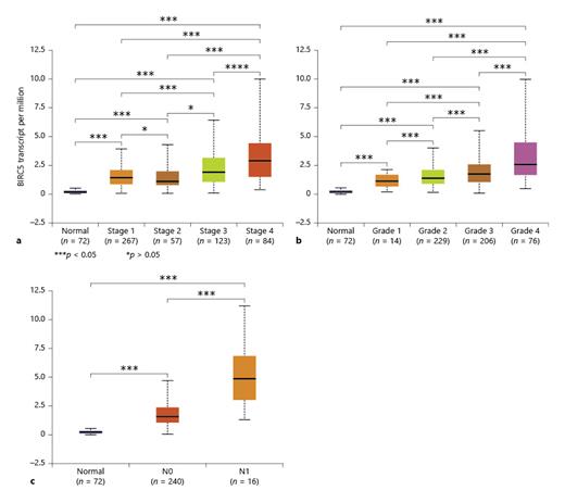
High BIRC5 Expression Is Significantly Related to Clinical Parameters
Analyzing the expression of BIRC5 in various tumor subgroups based on the individual cancer stage, tumor grade, and nodal metastasis using UALCAN, we found that the clinical parameters (clinical stage, histological grade, and nodal metastasis) increased with higher BIRC5 expression (p < 0.05) (Fig. 2). Compared with normal people, BIRC5 mRNA expression is significantly higher in the early stage and grade of ccRCC (p < 0.05). These results show that a high BIRC5 mRNA expression was associated with disease progression in ccRCC, and BIRC5 may be a biomarker of ccRCC early diagnosis.
The relationship between BIRC5 expression of ccRCC and clinical parameters. BIRC5 expression was differential in clinical stage, grade, and nodal metastasis parameters (p < 0.05). BIRC5 expression and stage (a); BIRC5 expression and grade (b); and BIRC5 expression and nodal metastasis (c). ccRCC, clear-cell renal cell carcinoma.
The relationship between BIRC5 expression of ccRCC and clinical parameters. BIRC5 expression was differential in clinical stage, grade, and nodal metastasis parameters (p < 0.05). BIRC5 expression and stage (a); BIRC5 expression and grade (b); and BIRC5 expression and nodal metastasis (c). ccRCC, clear-cell renal cell carcinoma.
Correlation between BIRC5 Expression and Outcome of ccRCC
The correlation between higher BIRC5 expression and ccRCC progression inspired us to consider whether BIRC5 can be used as an independent prognostic predictor for ccRCC patients. Analyzing the association between BIRC5 expression and OS using the Kaplan-Meier plotter, we found the higher BIRC5 expression was significantly related to patient’s OS (p < 0.05) (Fig. 3a). Then, analyzing the association between BIRC5 expression and DFS using GEPIA, we found the higher BIRC5 expression was significantly related to patient’s DFS (p < 0.05) (Fig. 3b). Also, to further verify the role of BIRC5 in ccRCC, we used SurvExpress to analyze the data of 468 ccRCC from TCGA using COX regression analysis. The prognostic index was calculated with regard to the BIRC5 mRNA expression level as a dichotomous risk factor. We found that in high-risk ccRCC patients, the expression level of BIRC5 is significantly high (Fig. 3d), and a high expression of BIRC5 is an independent poor prognostic indicator of ccRCC (Fig. 3c).
The relationship between BIRC5 expression and outcome of ccRCC. BIRC5 expression and OS (a); BIRC5 expression and DFS (b); survival across the high- and low-risk group (the numbers below the horizontal axis represent the number of individuals not presenting the event of the corresponding risk group along time) (c); and BIRC5 expression across the high- and low-risk group (d). CI, concordance index; OS, overall survival; DFS, disease-free survival; ccRCC, clear-cell renal cell carcinoma.
The relationship between BIRC5 expression and outcome of ccRCC. BIRC5 expression and OS (a); BIRC5 expression and DFS (b); survival across the high- and low-risk group (the numbers below the horizontal axis represent the number of individuals not presenting the event of the corresponding risk group along time) (c); and BIRC5 expression across the high- and low-risk group (d). CI, concordance index; OS, overall survival; DFS, disease-free survival; ccRCC, clear-cell renal cell carcinoma.
Protein Expression of BIRC5 Is Higher in Tumor Tissues of ccRCC
Analyzing immunohistochemical results of BIRC5 protein in the normal and ccRCC kidney tissue using HPA, we found that antibody for BIRC5 protein is “not detected,” the “low”-level in normal tissue, when is “medium” – the “high”-level in ccRCC (Fig. 4). This further confirms that the expression of BIRC5 in ccRCC is higher than in the normal kidney tissue.
The expression of BIRC5 protein of the normal and ccRCC kidney tissue in HPA (magnification: LP ×85; HP ×240). HPA, Human Protein Atlas; ccRCC, clear-cell renal cell carcinoma.
The expression of BIRC5 protein of the normal and ccRCC kidney tissue in HPA (magnification: LP ×85; HP ×240). HPA, Human Protein Atlas; ccRCC, clear-cell renal cell carcinoma.
Differential Expression of BIRC5 in the Plasma between Early ccRCC and Normal People
We analyzed the BIRC5 expression in paired samples by quantitative reverse transcriptase-polymerase chain reaction. Our data revealed that mRNA expression levels of BIRC5 were significantly higher in ccRCC than normal people (p < 0.05, Fig. 5).
The expression of BIRC5 in the ccRCC plasma was frequently and significantly higher than normal (p < 0.05). Data are represented as mean ± SEM. ccRCC, clear-cell renal cell carcinoma.
The expression of BIRC5 in the ccRCC plasma was frequently and significantly higher than normal (p < 0.05). Data are represented as mean ± SEM. ccRCC, clear-cell renal cell carcinoma.
Discussion
In this study, we used several web portals to explore the early diagnostic and prognostic value of BIRC5 in ccRCC patients by integrated bioinformatics analysis. Compared with a healthy population, the BIRC5 expression level in patients with early stage ccRCC is significantly higher, which means that BIRC5 may be an early diagnostic biomarker for ccRCC. Moreover, BIRC5 expression is highly correlated with the ccRCC clinical and pathological stage, and BIRC5 expression is significantly increased in the higher clinical and pathological stage. We analyzed the relationship between BIRC5 expression and prognosis of ccRCC, and found patients with a high BIRC5 expression, who had a worse OS or DFS. These results suggested that the high expression of BIRC5 prominently correlated with the prognosis and development of ccRCC, which means that BIRC5 is an important predictor of ccRCC patient prognosis.
With its invasive and chemoresistant characters, ccRCC can be cured by surgery when diagnosed at an early stage. However, there is no simple and rapid method to early detect ccRCC. For example, as a gold standard for ccRCC diagnosis, renal biopsy has a high sensitivity of diagnosis with a low complication rate of <5% [12];however, due to the asymptomatic of ccRCC at an early stage, it cannot be diagnosed at the early days through renal biopsy. What’s more, Sadat-Khonsari et al. [13] found that patients with suspicious renal masses cannot be precluded from being diagnosed with malignancies; although, with an unsuspicious histology in CT-guided renal tumor biopsy and almost 30% of these patients, further diagnostic or therapeutic workup demonstrated a cancer diagnosis. Previous several studies in other cancer types already showed that survivin can also be measured in the serum using a human surviving enzyme-linked immunosorbent assay [14-18], which makes it a noninvasive method for detecting ccRCC. In our study, the BIRC5 expression level in patients with early stage ccRCC is significantly higher than in a healthy population. So, we measure the expression of BIRC5 in the plasma between early ccRCC and normal people. Although the samples were limited, a significant over expression of BIRC5 was observed by applying Q-PCR in early ccRCC samples compared with the paired normal people. So, we assume survivin may be an early diagnostic biomarker for ccRCC, but it is sensitivity and specificity need to be clear by further clinical trials.
Previous studies have suggested that increased BIRC5 expression contributes to the negative outcomes of various cancers, such as breast, lung, colorectal, prostate, and ovarian cancers [7]. Cao et al. [19] found that a high BIRC5 expression is related to tumor progression and a poor prognosis of lung adenocarcinoma. Narimani et al. [20] found that knockdown of BIRC5 induces apoptosis in acute myelocytic leukemia. What’s more, 2 meta-analyses suggested that a high BIRC5 expression was associated with a poor prognosis and a more advanced pathological stage of RCC [21, 22]. In this study, we certify that a high BIRC5 expression is associated with a worse prognosis in ccRCC patients. Our findings are consistent with existing investigations. Therefore, we hypothesis that BIRC5 is a potential biomarker for progression and therapeutic target of ccRCC patients.
BIRC5 is a mitotic spindle checkpoint gene, and is located near the telomeric end of the chromosome 17 [23]. It plays an important role in the regulation of mitosis and apoptosis of the cell, also involved in pathological processes [5]. Its encoded protein, survivin, has 2 phosphorylation sites on its different domains (Thr34 and Thr117) which determines its bifunctional molecule effect on apoptosis and cell proliferation. Thr34 is a site on the regulation of cell apoptosis, when the Thr117 is involved in proliferation and cell cycle [24]. Previous studies demonstrate that BIRC5 is a key target involved in a variety of cancer cell signaling pathways, and the upregulation of BIRC5 may play a role in the following several mechanisms. First, it can antagonize caspase-dependent apo-ptosis, and activate P53 and its downstream target P21 to achieve the purpose of stalling cell cycle progression [25]. Second, BIRC5 facilitates the invasion and migration of tumor cells mediated through the PI3K/AKT pathway [26] or the TGF-β pathway [27]. Another, it can regulate tumor cell proliferation mediated by the β-catenin pathway [28]. These results may explain BIRC5 was mainly involved in the regulation of cell cycle and apoptosis. Meanwhile, our study indicates that the high expression of BIRC5 promoted the development of ccRCC, which may be through regulating the cell cycle signaling pathway.
The main limitation of our study is that our study was conducted using data from public databases that were not verified in prospective clinical trials. These findings need to be validated in prospective clinical trials. Moreover, as a potential biomarker for early diagnosis, the specific concentration of survivin to diagnose ccRCC needs to be further determined by clinical trials, also its sensitivity and specificity need to be clear. Also, the mechanisms through which BIRC5 promotes the progression of ccRCC requires further investigation, and the functions of the BIRC5 that impact the development of ccRCC needs to be investigated further through in vivo and in vitro experiments.
In conclusion, for ccRCC, BIRC5 may serve as a promising early diagnostic or prognostic predictor and therapeutic target. However, further investigations are necessary to confirm the findings of our study.
Statement of Ethics
The study was approved by the Institutional Review Board of The First Affiliated Hospital of Xian JiaoTong University, Xian, China (approval no.: XJTU1AF2021LSK-068). All patients provided written informed consent.
Conflict of Interest Statement
The authors declare that they have no conflicts of interest.
Funding Sources
This research received no specific grant from any funding agency in the public, commercial, or not-for-profit sectors.
Author Contributions
All the authors contributed to the study conception and design. Material preparation, data collection, and analysis were performed by Xin Wang, Jianhao Yin, and Rui Jia. The first draft of the manuscript was written by Jingyuan Wang and Min Chen, and all the authors commented on previous versions of the manuscript. All the authors read and approved the final manuscript.
References
Additional information
Jingyuan Wang and Min Chen contributed equally.





