Abstract
Introduction: Despite the fact that guidelines recommend monitoring of quality of life during all phases of treatment in urothelial carcinoma, prospective data about health-related quality of life (HRQoL) in metastatic urothelial carcinoma undergoing immunotherapy are sparse. Consequently, we performed a prospective clinical pilot study about HRQoL using the Functional Assessment of Cancer Therapy – Immune Checkpoint Modulator (FACT-ICM) questionnaire. Materials and Methods: Formally, this study is a prospective uni-centric noninterventional observation from January 2021 to December 2021. Results: Fourteen patients with a mean age of 73.9 years (SD 8.8) participated in the study. The physical well-being subscale of FACT-G is most impaired during therapy with mean scores of 7.5, 6.2, and 4.0 followed by the emotional well-being. The FACT-G total score is stable during therapy with mean scores of 51.1, 50.4, and 48.0 and it is not significantly decreasing during therapy (p = 0.317). Furthermore, the symptom burden of these patients is low and not significantly changing over time (p = 0.500), but survival decreases significantly if symptom burden is high (FACT-ICM score over 40; p < 0.001). Conclusion: Physical and emotional needs have a strong impact on HRQoL and should be dealt with during treatment. If symptom burden is high, survival decreases. This needs further evaluation.
Introduction
In accordance with 2018 GLOBOCAN data, urothelial carcinoma of the bladder is the 10th most common malignancy worldwide, with 549,393 new cases and 200,000 cancer-related deaths. In the USA, bladder cancer comprises 5% of new cancer diagnoses and is the sixth most prevalent malignancy. Approximately 75% of the newly diagnosed patients have nonmuscle-invasive bladder cancer, while the remaining 25% of the patients have muscle-invasive carcinoma. Prognosis depends on the types of bladder cancer, with 5-year rates ranging from 96% for nonmuscle-invasive bladder cancer to 5% for metastatic cases. An estimated 17,240 deaths were caused by bladder cancer in the USA in 2018 [1, 2]. Furthermore, immune checkpoint inhibitor therapy has a rising significance in bladder cancer, especially in advanced and metastatic disease [2, 3].
Additionally, the burden of advanced urothelial cancer is attributable to disease and treatment characteristics [2, 4, 5]. Hematuria, urinary frequency and urgency, and pain are among the most common signs and symptoms [2, 6]. Additionally, symptoms such as bleeding, pain, dysuria, constipation, fatigue, emotional distress, and urinary obstruction adversely impact health-related quality of life (HRQoL) in advanced bladder cancer. Treatment-related side effects, like fatigue and the impact on daily activities, are also reported as relevant to these patients [2, 5]. Furthermore, psychological issues have a strong impact on HRQoL and should be dealt with during treatment to secure the best possible quality of life for bladder cancer patients [7].
However, despite the fact that guidelines, especially the guidelines of the European Association of Urology (EAU), recommend monitoring of quality of life during all phases of treatment in urothelial carcinoma, prospective data about HRQoL in metastatic urothelial carcinoma undergoing immunotherapy with pembrolizumab are sparse [2, 8]. Still, emerging therapies for bladder cancer have accelerated interest in the development and validation of patient-reported outcome (PRO) instruments for this patient population to capture meaningful improvements in quality of life and symptom outcomes [2]. Last but not least, there is evidence from the literature that immunotherapy in metastatic urothelial carcinoma can not only improve survival but also HRQoL [3, 9].
Consequently, we performed a prospective clinical study about HRQoL using the Functional Assessment of Cancer Therapy – Immune Checkpoint Modulator (FACT-ICM), which is a self-reporting therapy-specific instrument and also includes the Functional Assessment of Cancer Therapy – General (FACT-G) scores, in patients with metastatic urothelial carcinoma treated with pembrolizumab. The primary aim of this study was the description of HRQoL and the secondary aim the impact of HRQoL on survival. Thereof, the strength of this study is the real-word data collected in a short period of time, where therapy standards have not changed.
Materials and Methods
Development of the Study and Study Population
The study was designed according to the guidelines in the synthesis of qualitative research (ENTREQ) found on the equatornetwork.org [10]. Before starting the study, we obtained the approval of the local ethics review board at the University Medical Center in Rostock (A 2021-0174). Formally, this study is a prospective uni-centric noninterventional observation. The inclusion criteria were adult patient (aged over 18 years) and metastatic urothelial carcinoma treated with 200 mg pembrolizumab every 3 weeks. If the inclusion criteria were met and informed consent was obtained from the patient, there were no further exclusion criteria. All relevant patient data like patient history, demographic characteristics, and all relevant clinical data were prospectively collected. Furthermore, the patients documented their HRQoL via FACT-ICM at the start of therapy and then every 3 months, consecutively. In this analysis, all patients eligible at our institution from January 2021 until December 2021 were included.
Definitions and Statistical Analysis
The FACT-ICM is a 25-item list and one of the first HRQoL self-reporting instruments as focused toxicity subscale for patients treated with immunotherapies. It was developed in accordance with US Food and Drug administration (FDA) guidelines, which prioritize patient input in developing PRO tools. This subscale is combined with FACT-G [11]. The FACT-ICM is analyzed according to the scoring guidelines found on the Functional Assessment of Chronic Illness Therapy group (FACIT.org) [12]. In detail, FACT-G is a 27-item questionnaire and has four subscale: functional well-being, e.g., asking for sleep disturbances, emotional well-being, e.g., asking for nervousness, social well-being, e.g., asking for relationships, and physical well-being, e.g., asking for pain. Furthermore, there is a total score and the higher the scores of FACT-G are, the better is the HRQoL. FACT-ICM has 25 items asking for typical symptoms of immunotherapy, like fatigue or constipation. The higher the score is, the higher is the symptom burden of the patient [11, 12].
For each numeric variable, the numeric distribution was preliminarily assessed by the Kolmogorov-Smirnov test. Descriptive statistics were made with mean and standard deviation for normal distribution or with median and IQR for nonparametric data. For parametric continuous variables, the Student’s t test was used and for parametric categorical variables, the χ2 test or the Fisher’s exact test was used. For nonparametric data (categorical and continuous), we used the Mann-Whitney U test. Kaplan-Meier plots were used to estimate the median overall survival, and univariate comparisons were performed using the log-rank test. All reported p values were based on a two-sided hypothesis; p < 0.05 was considered to be significant. All statistical calculations were performed using Statistical Package for the Social Sciences 28.0 software (SPSS Inc., Chicago, IL, USA).
Results
Demographic Characterization of the Study Population
Fourteen patients with a mean age of 73.9 years (SD 8.8) participated in the study, eleven (78.6%) were male and three (21.4%) female. Thirteen (92.9%) had metastatic urothelial carcinoma of the bladder and one (7.1%) metastatic disease of the upper urinary tract. Table 1 gives an overview of the demographic characteristics of the study population. Interestingly, all patients had visceral metastasis and 2 patients (14.3%) received palliative radiation therapy for bone metastasis.
HRQoL of the Patient Population
The physical well-being subscale of FACT-G is most impaired during therapy with mean scores of 7.5, 6.2, and 4.0 for start, 3, and 6 months of immunotherapy, respectively, followed by the emotional well-being scale of FACT-G with mean values of 9.5, 8.3, and 11.0 (p < 0.001; p < 0.001; and p = 0.058, respectively). However, for emotional well-being no patient received psychopharmacological medication. Figure 1 illustrates the subscale (physical well-being, social well-being, emotional well-being, and functional well-being) over the time of therapy.
The FACT-G total score is stable during therapy with mean scores of 51.1, 50.4, and 48.0 and it is not significantly altering during therapy (p = 0.317). Furthermore, the symptom burden of these patients is low with FACT-ICM mean values of 25.6, 21.6, and 20.5. Symptom burden is not significantly changing over time (p = 0.500). Figure 2 visualizes the stable FACT-G total and FACT-ICM scores over time. Regarding the symptoms, the most mentioned bothering symptoms in FACT-ICM were sleep disturbances (n = 8; 57.1%), dry skin (n = 7; 50.0%), and fatigue (n = 6; 42.9%).
Survival Data
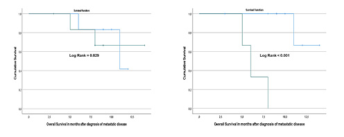
The median overall survival of this study population from initial diagnosis of metastatic disease is 8.3 months (IQR 5.8–10.3). Additionally, overall survival is not decreased if HRQoL is low (FACT-G total score under 50; p = 0.829), but survival decreases significantly if symptom burden is high (FACT-ICM score over 40; p < 0.001). Figure 3 illustrates the survival data of these patients.
Discussion
We performed a prospective pilot study about HRQoL in patients with metastatic urothelial carcinoma undergoing immunotherapy with pembrolizumab using the therapy-specific self-reporting instrument FACT-ICM. Unsurprisingly, most of the patients were in second line therapy. General HRQoL and symptom burden did not change significantly during treatment. This is not in accordance to other reports; e. g., O’Donnel et al. concluded that durvalomab was associated with improvement in disease-related symptoms, functioning, and HRQoL during therapy with metastatic urothelial carcinoma [3]. Furthermore, an improvement of HRQoL and symptom burden under immunotherapy was also described for metastatic kidney cancer [13]. The explanation, that we did not observe this improvement, is not quite obvious, but we must assume that HRQoL is influenced by several factors, like age (we describe a rather old population with a mean age of 73.9 years), comorbidities, bothering bladder symptoms like urgency or prior surgeries, and treatments. Our population was mainly on second-line therapy after gemcitabine/cisplatin, which also influences symptom burden. Interestingly, regarding symptom burden all our patients had visceral metastasis, which makes it a homogenous study population regarding symptoms due to metastasis. Luckily, HRQoL did not change under treatment with pembrolizumab, so at least we must conclude that immunotherapies are well tolerated.
Interestingly, the emotional well-being is one of most impaired in these patients, despite the fact that general HRQoL is good and symptom burden is low. Taarnhoj et al. [7] already concluded in their study about immunotherapy in patients with advanced bladder cancer that psychological aspects have a strong impact on HRQoL and should be dealt with during treatment to secure the best possible HRQoL for bladder cancer patients. Naturally, this result is very important for clinical practice. Guidelines recommend monitoring of HRQoL during all phases of treatment in these patients and this also includes emotional aspects [8]. Unfortunately, this is often not implemented in clinical practice in urology departments [14]. Since our conclusion is that emotional aspects are important for bladder cancer patients, especially in this cohort of metastatic disease receiving palliative immunotherapy, HRQoL must be monitored. This can be done easily and time-saving with self-reporting instruments. Subsequently, if these instruments reveal distress or special symptom burden, this should be addressed by a health professional, e.g., medical psychologist, and tried be resolved as well as supporting the disease processing of the patient. However, emotional well-being improves during therapy and none of our patients received psychopharmacological medication, but they received psychological support like it is advised in guidelines and our results substantiate this advice.
Finally, our most important result is that high symptom burden can predict overall survival. This is not a new finding. Already in 2003, Roychowdhury et al. [15] summarized that HRQoL parameters are independent prognostic factors for outcome in advanced bladder cancer and their importance needs further evaluation. Additionally, Suppanuntaroek et al. concluded that pretreatment HRQoL, and especially symptom burden with appetite loss, may predict poor prognosis of patients with metastatic urothelial carcinoma [16]. But, as we discussed above, HRQoL issues are often not addressed in clinical practice [14], despite the fact that they are important, especially symptom burden and symptom control. Taarnhoj et al. [17] described that the most bothersome symptoms for bladder cancer patients are urination, fatigue, and pain. In our opinion, these symptoms can be easily addressed in clinical practice. Furthermore, symptom control is very important for palliative care and it is reported that good symptom control and early integration of palliative care into treatment can not only improve HRQoL but also can improve survival with a better quality of life [18]. The very simple conclusion of the study by Taarnhoj et al. [17] was that further supportive care is warranted for bladder cancer patients. Consequently, physicians need to ask about HRQoL and symptoms during therapy of these patients and must treat to improve patient care. Other important PROs and HRQoL aspects in bladder cancer patients are physical functioning and activities of daily life [19]. However, if metastatic disease is in progression, symptoms might increase and medical symptom control might get more sophisticated. This might be one reason that high symptom burden is significantly associated with lower overall survival, but still further evaluation of HRQoL aspects as prognostic factor in bladder cancer and investigation of palliative care interventions in metastatic patients is absolutely essential [15, 17].
Despite of some advantages of our pilot study, like the homogeneous patient population investigated in a short time frame and the use of a therapy-specific questionnaire, we must assume that our analysis has some limitations as well. Due to the small sample size there might be a high risk for selection bias. Furthermore, we only used one self-reporting instrument, which needs further evaluation regarding validity and reliability in longitudinal studies, but the advantage of the FACT-ICM is that it is covering a broad spectrum of symptoms as well as adverse events of immunotherapy [11]. However, there is also a disease-specific instrument for bladder cancer the Functional Assessment of Cancer Therapy – Bladder (FACT-BI), also covering important symptoms for bladder cancer patients, e.g., hematuria and urgency [3], or the European Organization for the Research and Treatment of Cancer Quality of Life – Muscle-Invasive Bladder Cancer (EORTC-QLQ-BLM30) [14]. In our opinion, it would be of interest to develop a disease- and therapy-specific self-reporting HRQoL instrument to really specifically address the problems and symptoms of the patient in their special situation, like it was suggested for metastatic kidney cancer before [20]. This might be of high value for clinical practice and might even influence survival if you can reach good symptom control in those patients.
Conclusion
Psychological issues, especially emotional needs, have a strong impact on HRQoL and should be dealt with during treatment. Furthermore, HRQoL issues should be addressed during all phases of treatment in metastatic patients with urothelial carcinoma. Most importantly, high symptom burden is significantly associated with worse overall survival, so consequently symptom control and palliative care are essential in clinical practice, e.g., with following guidelines of palliative care about symptom control, management of adverse events, pain therapy, and psychological support. For further research, the development of a disease- and therapy-specific HRQoL instrument might be of interest, so very specific problems in patients can be identified. Subsequently, these problems and symptoms can be treated, e.g., with palliative interventions, and this could not only improve HRQoL but might even improve survival. Finally, symptom burden and palliative interventions might be important targets for prognostic research.
Statement of Ethics
Before starting the study, we obtained the approval of the local ethics review board at the University Medical Center in Rostock (A 2021-0174). Written informed consent was mandatory for study inclusion.
Conflict of Interest Statement
All authors declare that they have no conflict of interest regarding this study.
Funding Sources
This project received no external funding.
Author Contributions
Laila Schneidewind, Desirée Louise Dräger, Vanessa Roβberg, Julia Nolting, and Oliver W. Hakenberg participated in the design of the review and critical revision of the article. Laila Schneidewind and Desirée Louise Dräger participated in data acquisition, data analysis, and drafting of the article.
Data Availability Statement
All data generated or analyzed during this study are included in this article. Further inquiries can be directed to the corresponding author.




